
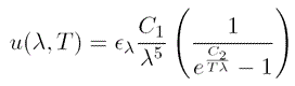
The energy emitted by a black body covers a large range of wavelengths. The distribution of energy over the range is known as the energy spectrum. The wavelength at which most of the energy is transmitted depends on the absolute temperature of the black body; at 1800 K it is about 1600 nm, at 2500 K it decreases to about 1200 nm and at 3000 K to about 1000 nm. The shape of the spectrum is given by Planck's Law

where u is the emission intensity and el the emissivity; C1 and C2 are constants, T the absolute temperature of the black body and l the wavelength. The total emitted energy (the area under the curve) decreases with the fourth power of the absolute temperature.
The Sun and the Earth are illustrative examples of black bodies. The absolute temperature of the Sun is approximately 5900 K, while the absolute temperature of the Earth is about 300 K (25 - 30°C). The diagram below shows the situation on a logarithmic scale (where each tick mark on the vertical axis indicates a tenfold increase of emitted power and each tick mark on the horizontal axis a tenfold increase of wavelength).
The range of visible light (400 - 700 nm) is indicated. Maximum radiation from the Sun is in the visible range; the Sun appears white hot. Maximum radiation from a furnace is in the infrared (heat, somewhat less than the heat emitted from the Sun) but contains some energy in the red part of visible light; molten iron therefore appears red hot. Radiation from Earth is not visible but can be detected as heat radiation in the infrared part of the spectrum.